JustToThePoint English Website Version
JustToThePoint en español

Automorphisms

They came up through long discussions, painstaking research, in-depth analysis, some tragic murderers and mysterious disappearances, and trial and error experimentation with abducted human beings involving their genitalia with the Ten Immutable, Absolute, and Transcendent Laws of Physics, Psychology, Philosophy, and Reality that I will so kindly share with you and show you below [···]

Males are fucked when getting married, no matter what species. The game is rigged. [···] There is a special place in hell for people who don’t flush the toilet. [···] Males can love females, but not understand them and have delusions of adequacy and conceit. On the other hand, females are crazy. The reason why females are crazy is because their male partners make them want to chew their veins violently and without mercy. [···] Most properties apply to the empty set, some less properties apply to finite sets, Apocalypse, Anawim, #justothepoint.

Recall

Let (A, *) and (B, ⋄) be two binary algebraic structures. A homomorphism is a structure-preserving map between two algebraic structures of the same type (groups, rings, fields, vector spaces, etc.) or, in other words, a map ϕ: A → B, such that ∀x, y ∈ S : ϕ(x ∗ y) = ϕ(x) ⋄ ϕ(y).

Notice that ϕ may not be one to one (injection), nor onto (surjection). An isomorphism is a bijective homomorphism, i.e., one-to-one and onto. In other words, let (S, *) and (S’, ⋄) be two binary algebraic structures of the same type. An isomorphism of S with S' is a 1-1 function ϕ mapping from S onto S′ such that the homomorphism property holds: ∀x, y ∈ S : ϕ(x ∗ y) = ϕ(x) ⋄ ϕ(y). S and S’ are said to be isomorphic binary structures and we denote or write it by S ≋ S'.

In particular, two groups (G, *) and (G', ⋄) are isomorphic if there exist a bijective homomorphism, i.e., a one-to-one and onto map Φ: G → G’ such that the group operation is preserved, that is, ∀x, y ∈ G : ϕ(x ∗ y) = ϕ(x) ⋄ ϕ(y). Isomorphic groups are equivalent, that is, they share the same algebraic and group theoretic properties.

Definition. An automorphism is an isomorphism from a group to itself.

Image 

Examples:

  1. There are two automorphism of ℤ: the identity, and the mapping n → -n.
  2. The conjugation map, i.e., Φ: ℂ → ℂ, Φ(a + bi) = a - bi is an automorphism of (ℂ, +).
  3. Let ℝ2 = {(a, b) | a, b ∈ ℝ}, Φ: ℝ2 → ℝ2, Φ(a, b) = Φ(b, a), the reflection across the vertical line y = x, is an automorphism of (ℝ2, +).
  4. f: ℝ → ℝ, ∀x ∈ ℝ, f(x) = αx, f is a group automorphism ↭ α ≠ 0.
  5. There is an automorphism Φ: ℤ5 → ℤ5, for each choice of Φ(1) ∈ {1, 2, 3, 4}. Notice that Φ(0) = 0 (Φ always carries the identity).

Definition. Let G be a group, and let a be a fixed or given element of G, a ∈ G.An inner automorphism of G (induced or given by a) is defined by the conjugation action of the fixed element a, called the conjugating element i.e., Φa defined by Φa(x) = a·x·a-1 ∀x ∈ G.

Proof. Φa is an automorphism of G.

  1. Φa is a group homomorphism, ∀x1, x2 ∈ G, Φa(x1x2) =[By definition] a·(x1x2)·a-1 = a·(x1·a-1·a·x2)·a-1 =[Associativity] (ax1a-1)(ax2a-1) = Φa(x1a(x2)
  2. It has an inverse, namely Φa-1. Thus, Φa is bijective, and so is an automorphism∎

We can also prove that is injective Φa(x1) = Φa(x2) ↭ a·x1·a1 = a·x2·a-1 ↭ [Cancellation laws] x1 = x2. Besides, ∀x∈ G, since G is closed a-1·x·a ∈ G, then Φa(a-1·x·a) = [By definition] a·(a-1·x·a)·a-1 = [Associativity] (a·a-1)·x·(a·a-1) = x ⇒ surjective∎

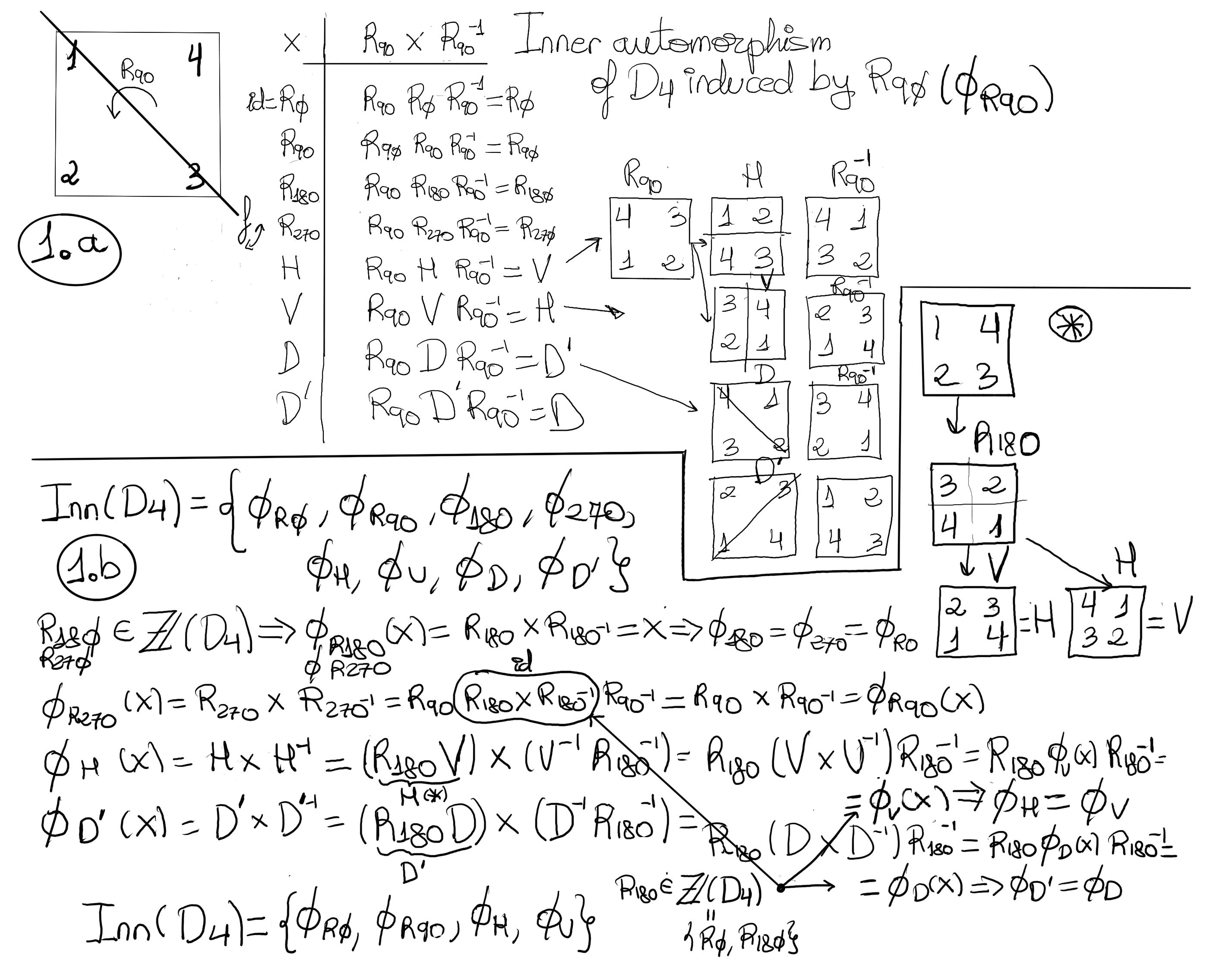
Example. Let’s compute the inner automorphism of D4 induced by R90°. It is shown in the following Figure 1.a.

Image 

Definition. Let G be a group, we use Aut(G) and Inn(G) to express or denote the set of all automorphisms and inner automorphisms respectively. They are both groups under composition.

Aut(G) = {Φ: G → G’: Φ is an isomorphism}

Inn(G) = {Φg: G → G’: Φ(x) = g·x·g-1}

Proof (Aut(G) forms a group).

  1. Let be id: G → G, id(a) = a, ∀a ∈ G. Then, id∘Φ = Φ∘id = Φ, and therefore id ∈ Aut(G)
  2. Associativity follows from the associativity of the compositions of functions.
  3. ∀Φ ∈ Aut(G), Φ is an isomorphism ⇒ Φ has an inverse for composition of functions ∘, say Φ-1. is Φ-1 a group homomorphism? ∀a, b ∈ G, ∃a’, b’: Φ(a’) = a, Φ(b’) = b ⇒ Φ-1(ab) = Φ-1(Φ(a’)Φ(b’)) =[Φ is a group homomorphism] Φ-1(Φ(a’b’)) = a’b’ = Φ-1(a)Φ-1(b). Φ is bijective ⇒ Φ-1 is bijective ⇒ Φ-1 ∈ Aut(G).
  4. ∀Φ, Φ’ ∈ Aut(G), (Φ ∘ Φ’)(ab) = Φ(Φ’(ab)) = [In particular, Φ’ is a group homomorphism] Φ(Φ’(a)Φ’(b)) = [Φ is group homomorphism] Φ(Φ’(a))Φ(Φ’(b)) = (Φ ∘ Φ’)(a)(Φ ∘ Φ’)(b) ⇒ Φ ∘ Φ’ ∈ Aut(G)∎

Theorem. Let G be a group. Then, the set Inn(G) of all inner automorphisms forms a normal subgroup of the automorphism group, Inn(G) ◁ Aut(G).

Proof. (Let’s use the subgroup test, H ≤ G iff ∀ x, y ∈ H, xy-1 ∈ H)

∀ Φa, Φb ∈ Inn(G). We claim (Φb)-1 = Φb-1

∀g ∈ G, (Φb∘Φb-1)(g) = (Φb)((Φb-1)(g)) = (Φb)(b-1gb) = b(b-1gb)b-1 =[Associativity] (bb-1)g(bb-1) = g.

∀g ∈ G, (Φb-1∘Φb)(g) = (Φb-1)((Φb)(g)) = (Φb-1)(bgb-1) = b-1(bgb-1)b =[Associativity] (b-1b)g(b-1b) = g. Therefore, ∀g ∈ G, (Φb∘Φb-1)(g) = (Φb-1∘Φb)(g) = g ⇒ (Φb)-1 = Φb-1

∀ Φa, Φb ∈ Inn(G), ∀g ∈ G, Φa∘(Φb)-1(g) = Φa∘Φb-1(g) = Φab-1(g)) = a(b-1gb)a-1 =[Associativity] (ab-1)g(ba-1) =[The Socks and Shoes Principle] (ab-1)g(ab-1)-1 = Φab-1(g) ⇒ Φa∘(Φb)-1 ∈ Inn(G) ⇒ Inn(G) ≤ Aut(G)

∀Φ ∈ Aut(G), ∀Φa ∈ Inn(G), Φ∘Φa∘Φ-1 ∈ Inn(G)? Claim: Φ∘Φa∘Φ-1 = ΦΦ(a)

∀g ∈ G, (Φ∘Φa∘Φ-1)(g) = (Φ∘Φa)(Φ-1(g)) = Φ(Φa-1(g))) = Φ(a·Φ-1(g)·a-1) =[In particular, Φ is a group homomorphism] Φ(a)·Φ(Φ-1(g))·Φ(a-1) =[∀n ∈ ℤ, ∀a ∈ G, Φ(an) = (Φ(a))n] Φ(a)·g·Φ(a)-1 = ΦΦ(a)(g) ⇒ ∀Φ ∈ Aut(G), ∀Φa ∈ Inn(G), Φ∘Φa∘Φ-1 = ΦΦ(a) ∈ Inn(G) ⇒ Inn(G) ◁ Aut(G)

Example. Let’s compute Inn(D4). Observe that the complete list of inner automorphism is {ΦR0, ΦR90, ΦR180, ΦR270, ΦH, ΦV, ΦD, ΦD’} where R0, R90, R180 and R270 are rotations of a square, H and V denote the horizontal reflections, and D and D’ denote the diagonal reflections. This list may have repeated automorphisms.

Recall, ℤ(Dn) = $ \begin{cases} e, n~is~ odd\\\\\\\\ e~ and~ α^{\frac{n}{2}}, n~is~ even \end{cases}$

Therefore, ℤ(D4) = {e, α2} = {R0, R180} ⇒ ΦR180(x) = R180xR180-1 [R180 ∈ ℤ(D4) ↭ R180x = xR180] = x ⇒ ΦR180 = ΦR0.

ΦR270(x) = R270xR270-1 =[R270 = R90R180] R90R180xR180-1R90-1 = R90(R180xR180-1)R90-1 = R90xR90-1 ⇒ ΦR270 = ΦR90.

Inn(D4) = [Figure 1.b, and considering H = R180V, and D’ = R180D] {ΦR0, ΦR90, ΦH, ΦD}.

Image 

Example. Let’s compute Aut(ℤ10)

Let be α ∈ Aut(ℤ10). Once we know α(1), we know α(k) for any k, because α(k) = α(1+··k··+1) = α(1)+··k··+α(1) = kα(1)

We have already demonstrated that ∀Φ isomorphism from G to G’, |a| = |Φ(a)| ∀a in G, i.e., isomorphisms preserve order and also map generators to generators -Properties of Isomorphisms acting on elements- ⇒ |α(1)| = |1| = 10 ⇒ There are four candidates for α(1) -4 generators of ℤ10, numbers less than 10 and coprime with 10-, namely α(1)=1 (let’s name this isomorphism as α1), α(1)=3 (α3), α(1)=7 (α7), and α(1)=9 (α9).

A similar argument will reveal that the possible automorphisms of ℤ8 are α(1) = 1 (id), α(1) = 3 (α3), α(1) = 5 (α5), and α(1) = 7 (α7).

α1 is the identity. is α3 an automorphism?

α3(1)=3, α3(k) = kα3(1) = 3k mod 10.

  1. Is it well defined? [x]10 = [y]10 ⇒ x mod 10 = y mod 10 ⇒ 3x mod 10 = 3y mod 10.
  2. Is α3 onto? Yes, it is, because α(1) = 3 and 3 is a generator of ℤ10.
  3. Is α3 one to one? 3a mod 10 = 3b mod 10 ⇒ (3a-3b) mod 10 = 0 mod 10 ⇒ a-b mod 10 = 0 mod 10 ⇒ [a]10 = [b]10
  4. Is it a homomorphism? α3(a + b) = 3(a + b) = 3a + 3b = α3(a)α3(b)

Therefore α3 is an automorphism. The same argument shows that α7 and α9 are automorphisms, too. Aut(ℤ10) = {α1, α3, α7, α9}

What is it structure? (α3α3)(1) = α33(1)) = α3(3) = 3·3 = 9 = α9(1) ⇒ α3α3 = α9. Further calculations show that α33 = α7 and α34 = α1. Thus, Aut(ℤ10) is cyclic, Aut(ℤ10) = ⟨α3⟩. Actually, it is isomorphic to U10 = {1, 3, 7, 9}.

Theorem. ∀n ∈ ℤ, n > 0, Aut(ℤn)≋ Un or ℤnx, the group of the integers relatively prime to n under multiplication mod n. In particular, |Aut(ℤn)| = Φ(n) where Φ(n) is Euler’s totient function, which gives the number of positive integers less than or equal to n that are relatively prime to n.

Proof.

Let α ∈ Aut(ℤn). α(0) = 0. Once we know α(1), we know α(k) for any k∈ℤn because α(k) = α(1+1+··k··+1) = α(1)+α(1)+··k··+α(1) = kα(1). Any automorphism α is determined by α(1). Besides, α(1) ∈ Un because it needs to be a generator of ℤn, that is, an integer less than n and coprime to n, but these integers are precisely the elements of Un.

We claim that Φ: Aut(ℤn) → Un, defined by Φ(α) = α(1) is an isomorphism.

  1. is Φ one-to-one? Let α, β ∈ Aut(ℤn), and suppose Φ(α) = Φ(β) ⇒ α(1) = β(1) ⇒ α(k) = kα(1) = kβ(1) = β(k), ∀k ∈ ℤn ⇒ α = β
  2. is Φ onto? Let r ∈ Un, consider α: ℤn → ℤn defined as α(s) = sr (mod n), ∀s ∈ ℤn. It can easily be demonstrated that α ∈ Aut(ℤn), and Φ(α) = α(1) = r.
  3. is Φ operation-preserving? ∀α, β ∈ Aut(ℤn), Φ(αβ) = (αβ)(1) = α(β(1)) = α(1+1+··β(1)··+1) =[In particular, α is a group homomorphism] α(1)+α(1)+··β(1)··+α(1) = α(1)β(1) = Φ(α)Φ(β) ∎

Bibliography

This content is licensed under a Creative Commons Attribution-NonCommercial-ShareAlike 4.0 International License. This post relies heavily on the following resources, specially on NPTEL-NOC IITM, Introduction to Galois Theory, Michael Penn, and Contemporary Abstract Algebra, Joseph, A. Gallian.
  1. NPTEL-NOC IITM, Introduction to Galois Theory.
  2. Algebra, Second Edition, by Michael Artin.
  3. LibreTexts, Abstract and Geometric Algebra, Abstract Algebra: Theory and Applications (Judson).
  4. Field and Galois Theory, by Patrick Morandi. Springer.
  5. Michael Penn (Abstract Algebra), and MathMajor.
  6. Contemporary Abstract Algebra, Joseph, A. Gallian.
  7. Andrew Misseldine: College Algebra and Abstract Algebra.
Bitcoin donation

JustToThePoint Copyright © 2011 - 2026 Anawim. ALL RIGHTS RESERVED. Bilingual e-books, articles, and videos to help your child and your entire family succeed, develop a healthy lifestyle, and have a lot of fun. Social Issues, Join us.

This website uses cookies to improve your navigation experience.
By continuing, you are consenting to our use of cookies, in accordance with our Cookies Policy and Website Terms and Conditions of use.